Aperçu

Depuis septembre 2023, j’ai collaboré avec le startup FIIDI sur la conception de leur application du même nom. FIIDI est une plateforme de réseautage professionnel dédiée aux talents et recruteurs du domaine cinématographique et audiovisuel. Son objectif principal est de favoriser les échanges et collaborations entre ces acteurs clés de l’industrie.

Pendant la collaboration, j’ai réalisé la construction de 0 à 1 de l’Appli mobile et l’itération.

Dans mon portfolio, je me concentrerai à présenter le design trade-off et l’itération.

Key info My Role

Utilisateurs potentiels
(Informations fournies par la cliente)

User type Persona User attributes Reflection user profile

Design trade-off

1. Rationaliser les fonctionnalités à faible priorité pour limiter les efforts de design et de développement sans compromettre les attentes utilisateurs.

Client quotes Trade Off

2. Rationaliser les fonctionnalités à faible priorité pour limiter les efforts de design et de développement sans compromettre les attentes utilisateurs.

Trade Off

Design version 1

Pages principales - 1e version

Original main pages design

Onboarding - 1e version

Original onboarding design

Usability testing sur le design version 1

Usability test V1

Hi-Fi prototypes mis en test

Original prototypes Original prototypes

Analyser les problèmes

Onboarding - Taux d’abandon élevé :

 1. Le parcours “Onboarding” est trop long en demandant aux utilisateurs trop d’infos privées et qui leur semblent pas forcément nécessaires.


 2. Pas d’indicateur d’étapes, ni option “Skip”.


 3. Le Paywall bloque le parcours d’utilisateur, c’est peu approprié de demander aux utilisateurs de payer avant qu’ils puissent découvrir les contenus de l’APP.


Original onborading design

Contenus & fonctionnalités pas assez personnalisés :

 1. Les 2 types principaux d’utilisateurs partagent les mêmes fonctionnalités et interface.


 2. La suggestion des informations sur-mesure est réservée uniquement aux utilisateurs payants.


Brainstorming des pistes possibles

Brainstorm solutions

Mind-mapping

Mind-mapping

Itération

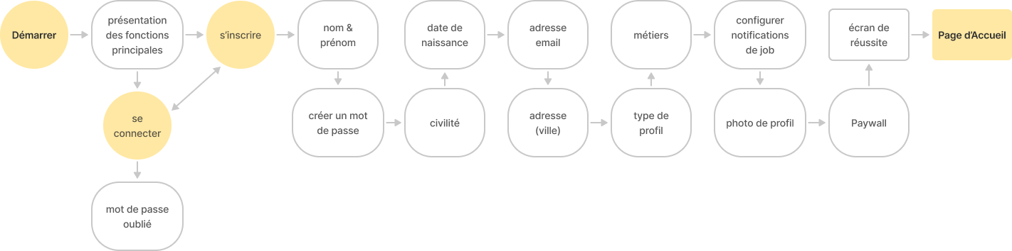
Onboarding - nouvelle version :

Iteration
onboarding prototype

L’utilisateur peut choisir à créer un compte FIIDI ou se connecter rapidement avec son compte Google ou Facebook.



L'expérience in-App sera personalisée en fonction de l’objectif choisi par l’utilisateurs lors de l'inscription, afin qu'il ne voie que les fonctionnalités pertinentes par la suite.



Tout au long du parcours “Onboarding”, une barre de progression est affichée pour guider et motiver les utilisateurs à terminer le processus d'inscription.

onboarding prototype

L’utilisateur peut choisir à créer un compte FIIDI ou se connecter rapidement avec son compte Google ou Facebook.



L'expérience in-App sera personalisée en fonction de l’objectif choisi par l’utilisateurs lors de l'inscription, afin qu'il ne voie que les fonctionnalités pertinentes par la suite.



Tout au long du parcours “Onboarding”, une barre de progression est affichée pour guider et motiver les utilisateurs à terminer le processus d'inscription.

Information architecture

Information architecture

High-fidelity design

screen analyse screen analyse screen analyse screen analyse

Usability testing sur le design version 2

Usability test V2

Story

Profil "Talent"

profile talent scene1

Mannequin et comédienne, Valérie allume l’APP FIIDI et souhaite trouver de nouvelles collaborations. Elle suit à son rythme le guide pour les nouveaux utilisateurs afin d’optimiser son profil et d’augementer la visibilité.

Elle accède à une sélection de profils de clients potentiels et tente de développer son réseau. Elle reçoit également des suggestions d’offres d’emploi adaptées à son profil. “Celle-ci a l’air pas mal, alors je vais postuler.”

profile talent scene2

Profil "Ciné-Pro"

profile ciné-pro scene1

Pour son prochain film, Yveline, réalisatrice, a besoin de compléter son équipe. Grâce à des annonces publiées dans l’APP FIIDI, elle a recueilli plusieurs candidatures qu'elle trie en un seul clic pour identifier les profils les plus pertinents. “Quelle efficacité !”

Grâce aux suggestions de profils sur-mesure, sans aucun effort, elle identifie aisément des talents qualifiés et adaptés à ses attentes. De plus, elle découvre aussi des professionnels des secteurs complémentaires, ouvrant ainsi de nouvelles perspectives de collaborations.

profile ciné-pro scene2
profile ciné-pro scene3

Le cameraman qu’elle a engagé ne possède pas le matériel de tournage adéquat. Yveline se tourne donc vers la communauté FIIDI pour louer une caméra de vidéo. Elle repère rapidement un loueur de matériels qui offre le service, et le contacte sans tarder.

Profil "Talent"

profile talent scene1

Mannequin et comédienne, Valérie allume l’APP FIIDI et souhaite trouver de nouvelles collaborations. Elle suit à son rythme le guide pour les nouveaux utilisateurs afin d’optimiser son profil et d’augementer la visibilité.

profile talent scene2

Elle accède à une sélection de profils de clients potentiels et tente de développer son réseau. Elle reçoit également des suggestions d’offres d’emploi adaptées à son profil. “Celle-ci a l’air pas mal, alors je vais postuler.”

Profil "Ciné-Pro"

profile ciné-pro scene1

Pour son prochain film, Yveline, réalisatrice, a besoin de compléter son équipe. Grâce à des annonces publiées dans l’APP FIIDI, elle a recueilli plusieurs candidatures qu'elle trie en un seul clic pour identifier les profils les plus pertinents. “Quelle efficacité !”

profile ciné-pro scene2

Grâce aux suggestions de profils sur-mesure, sans aucun effort, elle identifie aisément des talents qualifiés et adaptés à ses attentes. De plus, elle découvre aussi des professionnels des secteurs complémentaires, ouvrant ainsi de nouvelles perspectives de collaborations.

profile ciné-pro scene3

Le cameraman qu’elle a engagé ne possède pas le matériel de tournage adéquat. Yveline se tourne donc vers la communauté FIIDI pour louer une caméra de vidéo. Elle repère rapidement un loueur de matériels qui offre le service, et le contacte sans tarder.

Réflexion

Le design et l’interface ont été très appréciés par ma cliente. Elle a utilisé le hi-fi prototype comme démonstration du produit afin d’attirer des investissements de la ville de Marseille.



Ce projet m’a permis de renforcer mon product thinking et d’approfondir ma compréhension des arbitrages en design, notamment sur la manière de mieux équilibrer les objectifs business et l’expérience utilisateur.

explorer plus

Wanderlust
Portfolio Content 1
Wallbloom
Portfolio Content 3
Wanderlust
Portfolio Content 1
Wallbloom
Portfolio Content 3